CLA(carry lookahead generator)를 통해서 propogation error를 해결 할수 있다.



Fan-in problem (number of input logic gate can handle)
EX1)

b의 invert 를 찾는다. (2nd complement)를 찾는다.
C0는 1이다.
이것이 바로 subtractor 이다.



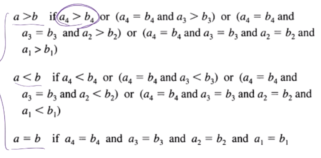
Comparators(high bit 부터 계산해서 확인)




CLA(carry lookahead generator)를 통해서 propogation error를 해결 할수 있다.



Fan-in problem (number of input logic gate can handle)
EX1)

b의 invert 를 찾는다. (2nd complement)를 찾는다.
C0는 1이다.
이것이 바로 subtractor 이다.



Comparators(high bit 부터 계산해서 확인)



